Stereotactic Radiotherapy & ILD Lung Cancer: Outcomes & Toxicity

The Future of Lung Cancer Treatment: Minimizing Toxicity with Advanced Radiotherapy

Imagine a future where lung cancer treatment is not synonymous with debilitating side effects. A recent multi-center cohort study published in Cureus, examining outcomes and toxicity in non-small cell lung cancer (NSCLC) patients with interstitial lung disease (ILD) undergoing stereotactic radiotherapy (SBRT), offers a crucial glimpse into that possibility – and highlights the urgent need for refined approaches. While SBRT remains a vital treatment option, the study underscores the heightened risk of pulmonary toxicity in patients with pre-existing ILD. This isn’t just about improving survival rates; it’s about dramatically enhancing the quality of life for those battling this disease.

Understanding the Challenge: SBRT and Interstitial Lung Disease

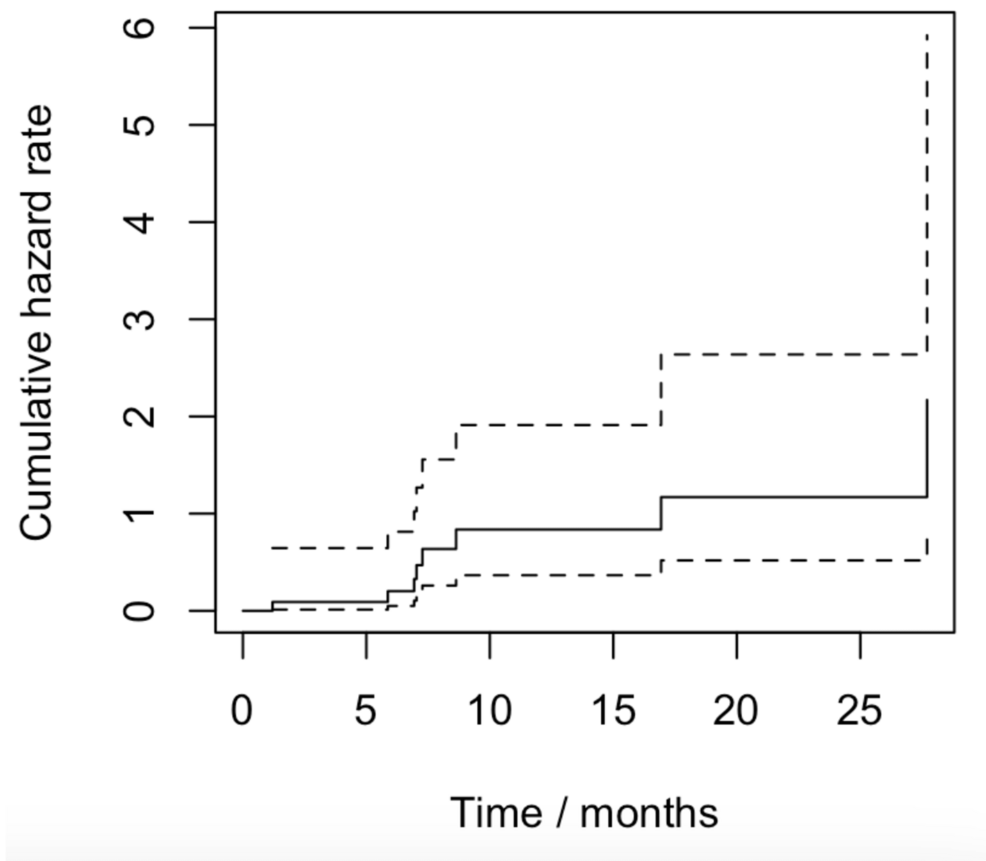
Stereotactic body radiotherapy, or SBRT, delivers highly focused radiation doses to tumors, minimizing damage to surrounding healthy tissue. It’s become a cornerstone of NSCLC treatment, particularly for patients who aren’t candidates for surgery. However, the study reveals a significant increase in acute and late pulmonary toxicity – inflammation and scarring of the lungs – when SBRT is used in patients already living with ILD, a group of chronic lung conditions causing progressive scarring. **SBRT**, while effective against the cancer, can exacerbate the underlying lung damage, leading to reduced lung function and a diminished quality of life. This delicate balance between tumor control and minimizing collateral damage is the central challenge driving future innovation.

Related keywords include: non-small cell lung cancer, pulmonary toxicity, radiotherapy side effects, lung disease treatment, SBRT complications.

Why ILD Patients are More Vulnerable

ILD fundamentally alters the lung’s ability to heal. The existing fibrosis – scarring – reduces lung elasticity and impairs the repair mechanisms needed to recover from radiation-induced injury. The Cureus study reinforces this understanding, showing a clear correlation between pre-existing ILD and a higher incidence of grade 2 or higher pulmonary toxicity following SBRT. This isn’t simply a matter of adjusting the radiation dose; it requires a more nuanced approach to patient selection and treatment planning.

Future Trends in Radiation Oncology for NSCLC with ILD

The future of SBRT for NSCLC patients with ILD isn’t about abandoning the technique, but about refining it. Several promising avenues are emerging:

1. Adaptive Radiotherapy: Real-Time Dose Adjustment

Traditional radiotherapy planning relies on static images taken before treatment begins. Adaptive radiotherapy, however, uses imaging during each treatment session to account for changes in tumor size, shape, and patient anatomy – including potential shifts in lung function. This allows clinicians to adjust the radiation dose in real-time, minimizing exposure to healthy lung tissue. This is particularly critical for ILD patients, whose lung condition can fluctuate.

2. MR-Guided Radiotherapy: Enhanced Precision

Magnetic Resonance (MR)-guided radiotherapy offers superior soft tissue contrast compared to traditional CT-based planning. This allows for more precise tumor delineation and better sparing of critical structures, including the lungs. MR-guidance can also help identify areas of pre-existing fibrosis, enabling clinicians to avoid irradiating those regions. See our guide on advanced radiation techniques for a deeper dive.

3. Biomarkers for Toxicity Prediction

Identifying patients at highest risk of pulmonary toxicity before treatment is paramount. Researchers are actively investigating biomarkers – measurable indicators in the blood or tissue – that can predict an individual’s susceptibility to radiation-induced lung damage. These biomarkers could include genetic markers, inflammatory proteins, or imaging features. The goal is to personalize treatment plans based on individual risk profiles.

4. Combining SBRT with Immunotherapy

Emerging evidence suggests that combining SBRT with immunotherapy can enhance the anti-tumor immune response. Radiation can trigger the release of tumor antigens, making cancer cells more visible to the immune system. Immunotherapy then boosts the immune system’s ability to attack and destroy those cells. However, careful consideration is needed to manage potential immune-related adverse events, particularly in patients with ILD.

Actionable Insights for Patients and Clinicians

For patients diagnosed with NSCLC and ILD, proactive communication with your oncologist is crucial. Discuss the potential risks and benefits of SBRT, and explore alternative treatment options if appropriate. For clinicians, the Cureus study serves as a powerful reminder of the need for meticulous patient selection, individualized treatment planning, and vigilant monitoring for signs of pulmonary toxicity. Regular pulmonary function tests and imaging are essential throughout and after treatment.

Key Takeaway:

The future of lung cancer treatment lies in precision – tailoring radiotherapy to the individual patient, minimizing toxicity, and maximizing quality of life. Advancements in adaptive radiotherapy, MR-guidance, and biomarker research are paving the way for a more personalized and effective approach.

Frequently Asked Questions

What is interstitial lung disease (ILD)?

ILD is a group of chronic lung conditions characterized by progressive scarring of the lung tissue. This scarring makes it difficult to breathe and can lead to reduced lung function.

Is SBRT still a viable option for NSCLC patients with ILD?

Yes, but it requires careful consideration and individualized treatment planning. Clinicians must weigh the potential benefits of SBRT against the increased risk of pulmonary toxicity.

What are the signs of pulmonary toxicity after SBRT?

Symptoms can include shortness of breath, cough, fatigue, and fever. It’s important to report any new or worsening symptoms to your oncologist immediately.

How can I learn more about clinical trials for lung cancer treatment?

Visit the National Cancer Institute’s website (https://www.cancer.gov/about-cancer/treatment/clinical-trials) or consult with your oncologist.

What are your predictions for the role of artificial intelligence in optimizing radiotherapy treatment plans for patients with complex conditions like NSCLC and ILD? Share your thoughts in the comments below!

Photo of author

Dr. Priya Deshmukh - Senior Editor, Health

Dr. Priya Deshmukh Senior Editor, Health Dr. Deshmukh is a practicing physician and renowned medical journalist, honored for her investigative reporting on public health. She is dedicated to delivering accurate, evidence-based coverage on health, wellness, and medical innovations.

Trump‑Kennedy Center Controversy Sparks Domain Grabs, Legal Battles, Event Cancellations and Public Backlash

Biren Technology’s IPO - Hong Kong’s First GPU Stock, Priced at HK$17‑19.6, Targeting Up to HK$4.85 bn and a 2026 Listing

Leave a Comment

This site uses Akismet to reduce spam. Learn how your comment data is processed.